Manufacturing / APIs
Ambroxol Hydrochloride IP, BP
IUPAC Name : trans-4-[(2-Amino-3,5-dibromobenzyl) amino]cyclohexanol hydrochloride.
Action and Use : Mucolytic expectorant.
Molecular Formula : C13H19Br2ClN2O
Molar Mass : 414.6
CAS No. : 23828-92-4
Atomic Structure :
Mesalazine , Mesalamine USP
IUPAC Name : 15-Amino-2-hydroxybenzoic acid.
Action and Use : Amino salicylate; treatment of ulcerative colitis.
Molecular Formula : C7H7NO3
Molar Mass : 414.6
CAS No. : 89-57-6
Atomic Structure :
Pregabalin IP, BP, EP, USP
IUPAC Name : (3S)-3-(Aminomethyl)-5-methylhexanoic acid.
Action and Use : Antiepileptic.
Molecular Formula : C8H17NO2
Molar Mass : 159.2
CAS No. : 148553-50-8
Atomic Structure :
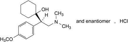
Venlafaxine Hydrochloride BP, EP, USP
IUPAC Name : 1-[(1RS)-2-(Dimethylamino)-1-(4-methoxyphenyl) ethyl] cyclohexanol hydrochloride
Action and Use : Inhibition of 5HT and noradrenaline reuptake; antidepressant
Molecular Formula : C17H28ClNO2
Molar Mass : 313.9
CAS No. : 99300-78-4
Atomic Structure :
Itopride Hydrochloride
IUPAC Name : N-[[4-[2-(dimethylamino)ethoxy]phenyl]methyl]-3,4-dimethoxy-, hydrochloride (1:1)
Action and Use : an acetylcholine esterase inhibitor and dopamine D2 receptor antagonist used to treat symptoms of functional dyspepsia such as nausea and vomiting.
Molecular Formula : C20H26N2O4.HCl
Molar Mass : 394.89
CAS No. : 122892-31-3
Atomic Structure :
Acebrophylline, Ambroxol Theophylline-7-Acetic Acid
Action and Use : Acebrophylline is used as a bronchodilator for the treatment of asthma, bronchitis, chronic obstructive pulmonary disease and other related conditions.
Molecular Formula : C22H28Br2N6O5
Molar Mass : 616.3
CAS No. : 96989-76-3
CAS No. : 122892-31-3
Atomic Structure :
Acefylline , Acephylline
IUPAC Name : (1,3-Dimethyl-2,6-dioxo-1,2,3,6-tetrahydro-7H-purin-7-yl)acetic acid
Action and Use : Acefylline is used for treating symptoms of asthma and other breathing problems such as bronchitis [infection of the respiratory tract (bronchioles)] and bronchial asthma (breathing disorder). It acts as an adenosine receptor antagonist.
Molecular Formula : C9H10N4O4
Molar Mass : 238.200
CAS No. : 122892-31-3
Atomic Structure :
Desvenlafaxine succinate
IUPAC Name : (1-[2-(Dimethylamino)-1-(4-hydroxyphenyl)ethyl]cyclohexanol hydrogen butanedioate monohydrate)
Action and Use : Treatment of major depressive disorder in adults.
Molecular Formula : C16H25NO2 • C4H6O4 • H2O
Molar Mass : 399.48
Atomic Structure :
